首页 > 行业资讯 > 电池研究 | 全固态电池在高电压下的界面失效机制

电池研究 | 全固态电池在高电压下的界面失效机制

时间:2022-10-03 来源: 浏览:

电池研究 | 全固态电池在高电压下的界面失效机制

CCL助手 康桥电池能源CamCellLab
康桥电池能源CamCellLab

gh_6f92e0be0b72

“康桥电池能源CamCellLab”专注于新型电池技术、算法模型、数据驱动及可视化、电池管理技术方案研究与专家咨询服务。

收录于合集

提示 点击上方 " CamCellLab ", 关注本公众号。

电池
研究

导语

导读: 全固态锂电池(ASSLBs)具有高安全性和高能量密度,是下一代电池重要的技术路线。聚环氧乙烷(PEO)是一种性能优良的固态电解质,具有良好的离子传导能力,且对正负极活性物质具有较好的界面润湿能力。 然而,PEO的电化学窗口较窄,当充电电压高于3.9V(vs. Li/Li+)时,PEO会发生电化学分解。
因此,与高电压正极(LiCoO2、NCM)相匹配时,PEO基固态电池通常呈现出较差的电化学性能。通过对正极表面包覆或PEO进行结构改性,可以改善PEO基固态电池的循环稳定性。然而,PEO基固态电池在高电压下真正的失效机制仍需深入研究。

01 成果介绍

近日, 北京大学深圳研究生院潘锋教授课题组通过在LiCoO 2 表面包覆一层高电压下性质稳定的Li 3 AlF 6 材料,改善电解质-正极界面稳定性,大大提升了PEO基固态电池在高电压下的电化学性能。同时,对PEO基固态电池在不同电压下的失效过程和原因进行分析。
研究表明, 在3.0-4.2V电压区间内,PEO基固态电池的容量衰减主要归因于LiCoO 2 的表面发生结构失效,生成CoO相;在3.0-4.5V以及更高的电压下,除LiCoO 2 结构失效外,PEO自身开始出现分解,离子电导率下降导致电池阻抗值增大,加剧了LiCoO 2 /PEO/Li 电池的失效。
该工作以 “Insights Into the Interfacial Degradation of High-Voltage All-Solid-State Lithium Batteries” 为题发表在国际顶级期刊 “Nano-Micro Letters ” 上。硕士研究生李家文为该论文第一作者,杨卢奕副研究员、宋永利副研究员、潘锋教授为通讯作者。
内容表述
图1.  LAF@LCO的结构表征分析。
通过密度泛函理论(DFT)筛选了具有较宽电化学窗口的Li 3 AlF 6 ,用于修饰LiCoO 2 与PEO基固态电解质之间的界面。Li 3 AlF 6 包覆后LiCoO 2 (LAF@LCO)的的主体结构并未发生明显变化。在SEM和HRTEM下,清晰看到Li 3 AlF 6 包覆层厚度约为20nm。
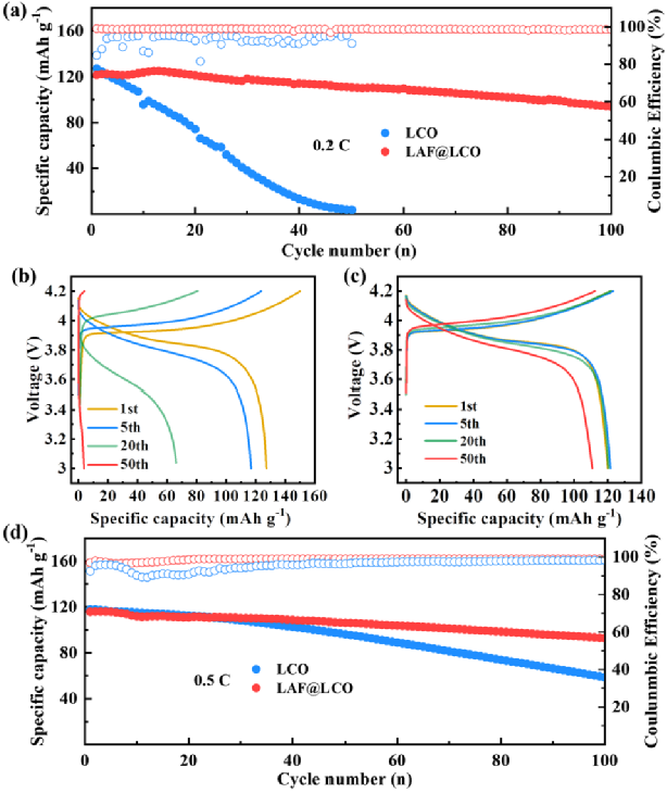
图2.  PEO基全固态电池在3.0-4.2 V电压区间内的循环稳定性测试。测试温度为60℃。
在0.2 C(1 C = 150 mAh/g)的长循环中,LCO/PEO-LiTFSI/Li电池的放电容量从首圈开始快速衰减,在50圈循环之后容量衰减为零。相比之下,LAF@LCO/PEO-LiTFSI/Li电池表现出更加出色的循环稳定性,经过100圈循环后,电池仍然具有高达96.5 mAh/g的放电容量,容量保持率为77.2%。
在0.5C下,LAF@LCO/PEO-LiTFSI/Li电池则同样表现出更突出的循环稳定性,说明Li 3 AlF 6 包覆层确实能够改善PEO基固态电池在高电压下的电化学性能。
图3.  LCO/PEO-LiTFSI/Li电池和LAF@LCO/PEO-LiTFSI/Li电池在3.0-4.2V电压区间循环后的表征分析。
对3.0-4.2V电压区间循环前后PEO基固态电解质XPS的C 1s图谱进行分析,未循环PEO基固态电解质的C-O与C-C峰面积之比为1:0.21。而来自LCO/PEO-LiTFSI/Li电池中循环后的PEO基固态电解质的C-O与C-C的峰面积之比减小至1 : 0.55,并且出现了O-C=O信号峰,这说明LCO/PEO-LiTFSI/Li电池循环之后,PEO出现一定程度上的分解。
此前研究表明, PEO分子链末端的羟基(-OH)将失去电子并形成单原子自由基(-O),而质子被锂盐捕获(公式1)。鉴于分子链中的羟基比例较低,我们对PEO在4.2V电压下的分解过程做了以下假设。PEO分子链中的C-O键断裂,形成分别带有-O-和-CH 2 -基的长链聚合物(公式2)。
不稳定的-CH 2 -基团进一步转化为带有-CH-CH 3 的聚合物(公式3)。然后,-O-基团将与-CH-CH 3 基团反应,形成O-C-O基团(公式4),在氧化电位下往往被氧化成O-C=O基团(公式5),此外,质子也被锂盐捕获的。含有高氧化性Co 4+ 的脱锂LixCoO 2 会通过吸引电子和质子来加速这一反应过程。
本文用 C 1s光谱中O-C=O与C-O峰的面积比作为PEO氧化程度的指标。在上限电压为4.2V的情况下,LCO和LCO@LAF在循环后得到的比率分别为0.08和0.05,表明PEO的分解被LAF包覆层有效抑制。
然而, LCO/PEO-LiTFSI/Li和LAF@LCO/PEO-LiTFSI/Li电池在循环前后的阻抗值大小几乎一致,说明电池在3.0-4.2 V的电压区间循环后PEO基固态电解质都没有被严重破坏,仍然具有几乎相同的的离子传导能力。这说明LCO/PEO-LiTFSI/Li在3.0-4.2 V电压区间内失效的真正原因并非是PEO的分解导致。
通过对循环后的LCO 进行的结构分析发现,未包覆的LCO在循环后表面出现了一组不同的晶格条纹,晶面间距为0.2472 nm和0.2137 nm,分别对应CoO的(111)和(200)晶面,这表明循环后的LCO表面发生了明显的结构相变,而这一结构上的变化导致了LCO性能衰减和LCO/PEO-LiTFSI/Li电池的失效。而循环后的LAF@LCO表面仍然存在一层完好的Li 3 AlF 6 包覆层,LCO中也没有出现相结构变化。
说明 LAF作为一个保护层 ,阻止了 LCO 的化学分解,促进了循环稳定性。 因此认为,当PEO与LCO的直接接触时, 含有高氧化性Co 4+ 的脱锂LixCoO 2 倾向于与PEO反应,导致LCO晶格中的氧损失和PEO链的分解。而 这种化学氧化还原反应可以被电子绝缘的LAF包覆层所抑制。
图4.  不同充放电区间内,LCO/PEO-LiTFSI/Li电池和LAF@LCO/PEO-LiTFSI/Li电池的充放电与DEMS产气结果分析
LCO/PEO-LiTFSI/Li电池的DEMS测试在4.4V之前只能检测到微量的气体,表明PEO的分解可以忽略不计。这个结果与上面的结论一致,即PEO分解可能不是电池在3.0-4.2V电压范围内容量衰减的原因。
如公式2所示, 少量的C 2 H 4 O来自PEO中相邻的C-O键的断裂。随着截止电压逐渐增加到4.5V,大量的O 2 从电池中释放出来。在电压可以达到4.6V之前,出现了一个很长的PEO分解平台,伴随着各种气体的严重释放,包括H 2 , CH 4 , C 2 H 2 , C 2 H 4 , CO, C 2 H 6 , HCHO, O 2 , CO 2  (C 2 H 4 O),这是PEO基固态电解质在高压下剧烈分解成小分子的结果。
而LAF@LCO/PEO-LiTFSI/Li内部只有少量的气体产生,此时电池还能进行正常充放电。只有当充电电压达到4.8 V后,PEO才开始出现剧烈分解并产生大量的气体,导致电池完全失效。并且,LAF@LCO/PEO-LiTFSI/Li电池在3.0-4.5V电压区间内也表现相对优异的稳定性。这说明Li 3 AlF 6 包覆层能够提高PEO的充电截止电压,有效缓解PEO基固态电解质在高电压下的分解,提高电池的循环稳定性。
图5.  LCO/PEO-LiTFSI/Li电池和LAF@LCO/PEO-LiTFSI/Li电池在3.0-4.5V电压区间循环后的表征分析。
LCO/PEO-LiTFSI/Li电池的阻抗在循环后已经超过900 Ω,阻抗增大表明循环过程中PEO剧烈分解成小分子,导致其离子电导率下降,并且电解质/正极界面也不断被破坏,进而导致电池容量的快速衰减和失效。
而LAF@LCO/PEO-LiTFSI/Li电池在循环后,阻抗只发生微小的变化,仍然保持在200 Ω左右,说明此时PEO并未发生剧烈分解,仍然保持良好的离子电导率和电解质/电极界面稳定性。
利用XPS对PEO基固态电解质的分解进一步表征分析,LCO/PEO-LiTFSI/Li电池循环后PEO的C 1s谱图中C-O峰面积明显减小,而R-C=O(287.2 eV)和O-C=O(288.5 eV)的峰面积则明显增大,O-C=O与C-O的峰面积比为0.24。R-C=O和O-C=O峰面积的增加归因于PEO大量分解生成的的分解产物,表明PEO基固态电解质在3.0-4.5 V电压区间内出现剧烈分解。
因此推测(公式6) ,之前得到的单原子自由基(-O-)将进一步氧化成羰基。在这个过程中 ,含有高氧化性Co 4+ 的脱锂LixCoO 2 也将通过吸引电子和质子来加速这个反应过程。
相比之下, LAF@LCO/PEO-LiTFSI/Li电池循环后PEO的C 1s和O 1s谱图中R-C=O和O-C=O峰面积增加较少,O-C=O与C-O峰的面积比从0.24明显下降到0.06。
这说明LAF@LCO/PEO-LiTFSI/Li电池中的PEO只是发生少量分解,电解质-电极界面受到了良好保护。与4.2V时的容量衰减不同,4.5V时更差的性能可以归因于LCO结构失效和PEO分解。而对于LAF@LCO,PEO的轻度分解可归因于在高电压下导电碳/电解质界面的恶化。
图6.  PEO基固态电池在高电压下的失效机制示意图。
因此, 本文推测:在4.2 V充电电压下,LCO/PEO-LiTFSI/Li电池容量的快速衰减的主要原因是高活性LiCoO 2 表面和PEO之间的化学氧化还原反应所引起的LiCoO 2 表面的结构失效。当电压达到4.5V甚至更高的电位时,LiCoO 2 的结构失效和PEO的强烈分解可能是共同导致容量进一步下降的原因。

声明:欢迎广大学者踊跃投稿 。本栏目信息来源及内容仅作为学术课题研究、技术交流等用途,不作为商业用途;文章观点仅供分享交流,转载请注明出处;如涉及版权等问题,我们将及时沟通处理。

——END——
康桥电池能源CamCell Lab 专注于新型电池技术、数字孪生仿真模型、数据驱动、数据可视化、技术方案研究与专家咨询服务,欢迎关注 。

长按识别二维码

关注我们
            
版权:如无特殊注明,文章转载自网络,侵权请联系cnmhg168#163.com删除!文件均为网友上传,仅供研究和学习使用,务必24小时内删除。
相关推荐