Angew综述:金纳米团簇催化的结构工程
Angew综述:金纳米团簇催化的结构工程
icat2019
我为催化狂!
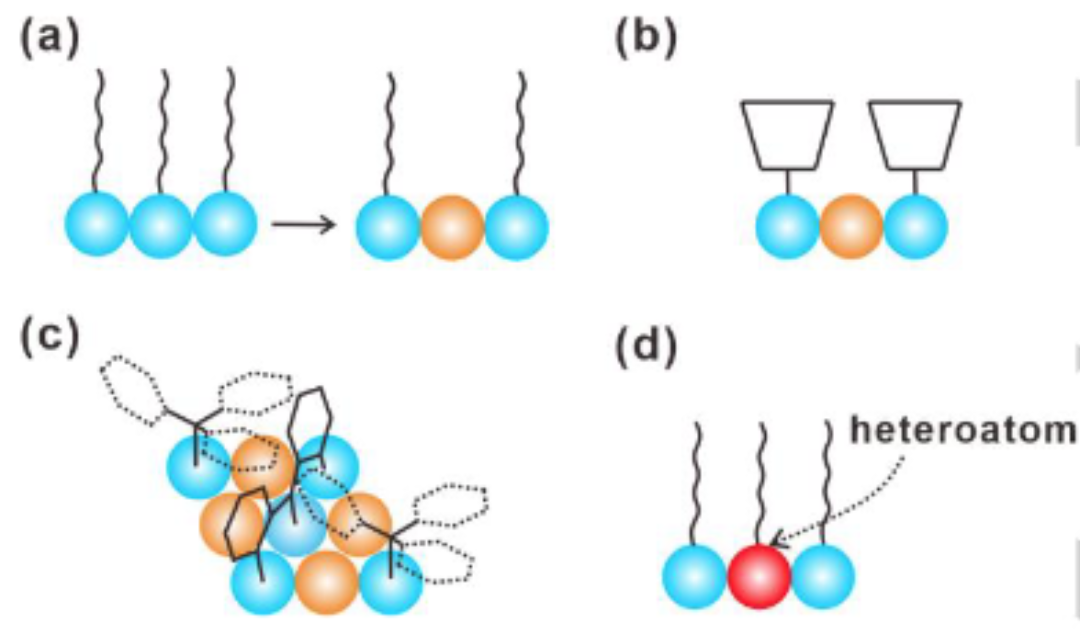
原子级精确的金纳米团簇为探索纳米金催化剂的结构和性质之间的关系提供了很好的平台。纳米团簇由金属核和表面配体壳组成,核和壳都对催化性能有显著影响。由于它们的精确结构,可以很容易地识别团簇的活性金属位点,并且可以揭示催化反应中的配体效应。
近日, 清华大学 Quan-Ming Wang 等 对金纳米簇催化剂活性位点的构建以及配体对催化性能的影响进行了总结。
要点2. 此外,作者总结了金纳米团簇在催化活性、选择性和稳定性方面的配体效应。
要点3. 最后就金团簇催化的未来方向与挑战提出了自己的观点。
Zong-Jie Guan, et al. Structural Engineering toward Gold Nanocluster Catalysis. Angew. Chem. Int. Ed., 2022
DOI: 10.1002/anie.202209725
https://onlinelibrary.wiley.com/doi/10.1002/anie.202209725
催化技术交流微信群
加微信群方式: 添加编辑微信 18065920782 ,备注:姓名-单位-研究方向(无备注请恕不通过),由编辑审核后邀请入群。
热催化学术QQ群:741409795
光催化学术QQ群:582590624
电催化学术QQ群:1025856252
均相催化与酶催化QQ群:871976131
多孔材料学术QQ群:813094255
同步辐射丨球差电镜丨FIB-TEM
原位XPS、原位XRD、原位Raman、原位FTIR
加急测试
李老师
学研汇技术经理
158 2732 3927
官方网站:www.xueyanhui.com
-
2023年血糖新标准公布,不是3.9-6.1,快来看看你的血糖正常吗? 2023-02-07
-
2023年各省最新电价一览!8省中午执行谷段电价! 2023-01-03
-
GB 55009-2021《燃气工程项目规范》(含条文说明),2022年1月1日起实施 2021-11-07
-
PPT导出高分辨率图片的四种方法 2022-09-22
-
2023年最新!国家电网27家省级电力公司负责人大盘点 2023-03-14
-
全国消防救援总队主官及简历(2023.2) 2023-02-10
-
盘点 l 中国石油大庆油田现任领导班子 2023-02-28
-
我们的前辈!历届全国工程勘察设计大师完整名单! 2022-11-18
-
关于某送变电公司“4·22”人身死亡事故的快报 2022-04-26
