厦门大学李军教授/彭丽副教授团队J Catal. :一种高效的CO2选择性加氢合成甲醇的Cu/ZnOx/ZrO2催化剂
厦门大学李军教授/彭丽副教授团队J Catal. :一种高效的CO2选择性加氢合成甲醇的Cu/ZnOx/ZrO2催化剂
dtlsunshine
聚焦液态阳光关键技术和产业链,推动液态阳光经济发展
以下文章来源于科学温故社 ,作者李军、彭丽团队
知幽渺之理而收显著之效:从实验到理论,探索催化反应隐藏的信息与机理,打开催化过程“黑匣子”
全文速览
本研究采用共沉淀法来制备Cu/ZnO x /ZrO 2 催化剂,将金属颗粒限域在MOF孔道中,再经过煅烧后可以暴露出更多的催化活性位点,大大提高了催化剂的性能。共沉淀法具有简单、成本低、能更好地控制金属负载量的优点,同时,使用该方法合成的Cu/ZnO x /ZrO 2 催化剂,可以有效避免Cu纳米粒子易团聚、Cu与ZnO物种在高温下易相分离的问题。经过测试,Cu/ZnO x /ZrO 2 催化剂对CO 2 加氢制甲醇的性能要优于商业化催化剂和课题组前期根据双溶剂法制备的催化剂。
背景介绍
由于化石燃料的过度开发和利用,导致大气中CO 2 排放量逐年急剧增加,给人类带来了一系列环境问题和能源危机。CO 2 作为一种丰富、易得且可再生的碳资源,可以通过多种可行的途径将其转化为高附加值的产品,特别是催化加氢,这是目前最有发展前景的研究之一。甲醇作为一种清洁、绿色的液体燃料,也是工业上重要的化工原料,因此,将CO 2 转化为甲醇具有特殊的意义。上世纪60年代研发的传统商业催化剂Cu/ZnO/Al 2 O 3 填补了该领域的空白,但在苛刻的反应条件 (一般为200-300 ℃,5-10 MPa压力) 下其催化性能较差,难以满足当前需求。为了响应国家“碳中和”的号召,为缓解环境问题和能源危机提供切实可行的解决方案,开发廉价、易得、高效的工业催化剂迫在眉睫。
研究目标
理想的催化剂应在温和的反应条件下提高CO 2 的转化率,并具有较高的甲醇选择性,这是其工业化生产的基础。目前,该领域主要包括铜基催化剂、贵金属催化剂和其他催化体系。在这些催化剂中,贵金属催化剂由于其高昂的价格使其难以实现大规模工业化,而Cu基催化剂由于其综合研究和良好的性能而被广泛使用。同时,Cu/ZnO催化剂因其价格低廉且易于改性而显示出巨大的工业应用潜力,但仍存在稳定性差、产物选择性低的缺点。根据以往文献中提到的该催化剂的作用机理,Cu/Zn界面是该催化过程中的主要活性位点。但是在高温高压下,金属界面处易发生相分离,Cu颗粒逐渐团聚,从而导致甲醇选择性下降。因此,如何克服上述困难成为当前研究的重点。换言之,精确设计催化剂的Cu/Zn界面并在反应过程中保持其纳米级的结构至关重要。
图文精读
在本工作中,通过共沉淀法将金属物种负载到UiO-66的孔道中,之后采用高温煅烧破坏掉UiO-66的结构,使得更多的活性位点和金属界面暴露出来,从而大幅度提高了催化剂的效果,同时采用多种手段对催化剂进行表征。
图 1a 显示了 UiO-66、Cu 2+ /Zn 2+ @UiO-66前驱体和Cu/ZnO x /ZrO 2 的XRD图谱。从图中可以看出,UiO-66的特征衍射峰(2θ=7.36°和8.48°)在Cu/ZnO x /ZrO 2 的XRD图中消失,表明MOF结构在煅烧后发生了分解。同时,与标准PDF卡相比,Cu/ZnO x /ZrO 2 的XRD图谱显示出明显的Cu、Zn、ZnO和ZrO 2 峰,这应该是由于煅烧过程中UiO-66分解成ZrO 2 ,使得表面的Cu和Zn金属暴露在外。
Figure 1.(a) XRD patterns and (b) N 2 adsorption-desorption isotherms of UiO-66 and Cu/ZnO x /ZrO 2 .
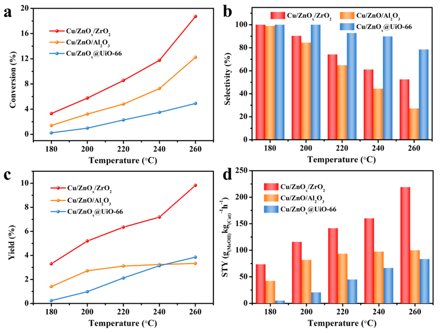
Fig. 4 The relationship between (a) conversion, (b) selectivity, (c) yield, (d) space-time yield and reaction temperature of CO 2 hydrogenation to methanol over Cu/ZnO x /ZrO 2 , Cu/ZnO/Al 2 O 3 and Cu/ZnO x @UiO-66. (H 2 :CO 2 =3:1, P =4 MPa, GHSV=12000 h -1 , m cat =0.3 g)
研究表明,Cu/ZnO x /ZrO 2 催化剂表现出优异的催化性能和明显的进步,如图4所示。当反应温度为200 ℃时,催化剂的转化率达到5.7%,在其他反应条件不变的情况下,选择性达到90%以上。该催化剂的甲醇收率和时空收率均远高于Cu/ZnOx@UiO-66,大约是其5倍以上。当反应温度升至260 ℃时,甲醇收率和时空收率约为Cu/ZnOx@UiO-66的3倍,同时STY也达到了216.7 g (MeOH) kg (cat) -1 h -1 。而与所制备的商业催化剂Cu/ZnO/Al 2 O 3 相比,Cu/ZnO x /ZrO 2 的催化性能更加突出。在相同反应条件下,该催化剂在CO 2 转化率、甲醇选择性和收率等方面具有明显优势。Cu/ZnO x /ZrO 2 的时空产率是Cu/ZnO/Al 2 O 3 催化剂的2倍以上,且该催化剂在连续测试50小时以上时仍能保持与初始状态相当的催化活性,表明该催化剂具有巨大的工业应用潜力。
相关研究成果
Y. Yang, Y. Xu, H. Ding et al. Cu/ZnO x @UiO-66 synthesized from a double solvent method as an efficient catalyst for CO 2 hydrogenation to methanol. Catal. Sci. Technol. 11 (2021) 4367-4375.
心得与展望
综上所述,这项工作表明,与商业化催化剂 Cu/ZnO/Al 2 O 3 和催化剂Cu/ZnO x @UiO-66相比,通过共沉淀法合成的基于UiO-66的三金属催化剂对CO 2 加氢具有更高的催化性能。该工作充分利用MOF材料来帮助产生纳米级催化活性位点,并通过煅烧使得MOF材料分解来进一步暴露活性位点,从而提高催化效果。该方法有利于解决催化剂中的Cu和ZnO相在高温反应过程中容易分离而导致催化活性位点相对较少的问题。我们预计这种催化剂可以在进一步测试后尝试工业应用,并且这种设计思想也可以用于以多孔材料为模板合成各种其他含金属复合材料,以提高它们在其他催化反应中的性能。
课题组介绍
李军,厦门大学化学化工学院教授,博士生导师。主要从事超临界流体绿色化工过程的基础和应用研究,以超临界流体等介入材料/化学品的合成和分离、反应与分离耦合的过程强化等,并涉及其中的量化计算、分子模拟、过程模拟、过程装备等。开发了多套中试工艺装备/小型工业生产线,在包括 Nat. Commun.、Chem. Eng. J. 等化学化工期刊上发表论文百余篇, 获授权国际、国家发明专利约50项。目前兼职中国化工学会理事, 福建省化工学会副理事长,《厦门大学学报(自然科学版)》、《化工进展》、《过程工程学报》等期刊编委。曾获厦门市优秀教师、宝钢优秀教师奖。
彭丽,厦门大学化学化工学院副教授,特任研究员,博士生导师。2019年入职厦门大学,入选南强青年拔尖人才支持计划,主要研究方向为超临界流体应用、多孔材料的绿色可控制备以及CO 2 转化与利用。在 Angew. Chem. Int. Ed. , J. Am. Chem. Soc. , Nat. Commun. 等期刊上发表论文50余篇,获得“中国科学院优秀博士学位论文”、“北京市优秀毕业生”、“唐敖庆化学奖”、“朱李月华优秀博士生”、“中国科学院优秀毕业生”、“中国科学院大学院长优秀奖”等奖项。
2022(第二届)液态阳光产业论坛
时间待定 中国 苏州
组织机构
主办单位: DT新材料
承办单位: 宁波德泰中研信息科技有限公司
支持单位: 上海闻鑫环保科技有限公司
厦门大学能效工程与能源装备研究所
上海簇睿低碳能源技术有限公司
西门子能源有限公司
.........................................
鸣谢单位: 北京精微高博科学技术有限公司
庄信万丰清洁能源技术(北京)有限公司
安徽科幂仪器有限公司
常州市蓝博氢能源科技有限公司
上海岩征实验仪器有限公司
........................................
名誉主席
李灿,中国科学院院士、中国科学院大连化学物理研究所研究员
展位预定
码上报名
会务组联系方式
杨莉婷:(参会、参展、赞助)
手机号:17767316912(微信同号)
章群群:(参会、参展、赞助) 手机号:15314597971(微信同号)
盛圆圆:(申请报告、媒体合作) 手机号:17706484632(微信同号
END
-
2023年血糖新标准公布,不是3.9-6.1,快来看看你的血糖正常吗? 2023-02-07
-
2023年各省最新电价一览!8省中午执行谷段电价! 2023-01-03
-
GB 55009-2021《燃气工程项目规范》(含条文说明),2022年1月1日起实施 2021-11-07
-
PPT导出高分辨率图片的四种方法 2022-09-22
-
2023年最新!国家电网27家省级电力公司负责人大盘点 2023-03-14
-
全国消防救援总队主官及简历(2023.2) 2023-02-10
-
盘点 l 中国石油大庆油田现任领导班子 2023-02-28
-
我们的前辈!历届全国工程勘察设计大师完整名单! 2022-11-18
-
关于某送变电公司“4·22”人身死亡事故的快报 2022-04-26
