清华Nano Res.:选择性溶解法合成高负载Pt单原子催化剂
清华Nano Res.:选择性溶解法合成高负载Pt单原子催化剂
catalysisworld
催化开天地(Catalysis Opens New World),分享催化基本知识,关注催化前沿研究动态,我们只专注于催化!
【做计算 找华算】 理论计算助攻顶刊,10000+成功案例,全职海归技术团队、正版商业软件版权!
经费预存选华算,高至15%预存增值!
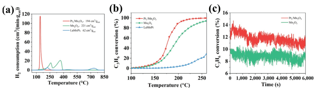
清华大学李俊华和彭悦等人 报道通过选择性溶解策略合成负载量高达5.6wt.%的氧化锰负载的PtSAC。配位氧对Pt的预稳定和载体丰富的表面缺陷是高负载的决定因素。与氧化锰载体相比,PtSAC表现出更好的H 2 溢流和烃氧化能力,具有更低的吸附和解离能,因为其局部电子结构具有较小的排斥力。
DFT计算结果显示相比于Mn 2 O 3 (111)催化剂载体 , Pt 1 /Mn 2 O 3 (111)更容易吸附和解离H 2 ,有两个位点用于H 2 的吸附和解离,其中O的配位数为6。对于位点(I),H 2 在Mn 2 O 3 (111)的吸附能为-0.28eV,略高于Pt 1 /Mn 2 O 3 (111)的-0.31eV。该结果表明位点(I)上Pt的替代明显提升H 2 的吸附。另外, H 2 在Pt 1 /Mn 2 O 3 (111)解离的活化能垒为0.78eV,显著低于在Mn 2 O 3 (111)催化剂表面上的1.61eV,表明H 2 在Pt 1 /Mn 2 O 3 (111)表面上的解离比在Mn 2 O 3 (111)面更加容易 。
同样地,对于位点(II),吸附能和活化能垒同样证明H 2 分子倾向于在Pt 1 /Mn 2 O 3 (111)上进行吸附和解离,而不是Mn 2 O 3 (111)。H 2 在Mn 2 O 3 (111)和Pt 1 /Mn 2 O 3 (111)的吸附能分别为-0.24和-0,26eV;H 2 在Mn 2 O 3 (111)的活化能垒(1.04eV)同样高于在Pt 1 /Mn 2 O 3 (111)的活化能垒(1.00eV)。以上结果表明Pt单原子促进了H 2 的吸附和解离。DFT计算丙烯在Mn 2 O 3 (111)和Pt 1 /Mn 2 O 3 (111)上的吸附行为。 丙烯在Mn 2 O 3 (111)的吸附能为-0.53eV,其高于在Pt 1 /Mn 2 O 3 (111)的吸附能(位点(I)-0.61eV;位点(II)-0.81eV),表明Pt单原子与丙烯的相互作用促进其吸附 。
进一步研究Pt单原子促进作用的起源,进行Bader电荷和静电势分析。静电势图显示不同原子的静电势分布。红色表明原子带有更多的负静电势,蓝色相反。Pt 1 /Mn 2 O 3 (111)中Pt原子比中Mn原子(Mn12和Mn45)带有更低的静电势。因此, Pt 1 /Mn 2 O 3 (111)中围绕Pt取代位的O原子(O48,O60,O65,O69和O72)比Mn 2 O 3 (111)中O原子具有更少的电荷 。 从H原子到载体的电子转移对于氢溢流至关重要,在解离H 2 的过程中,电子缺点的O原子具备更少的静电排斥,因此有利于从H原子接受和转移电子。因此Pt单原子独特的电子结构调节周围的O原子,并促进H 2 中H原子以及丙烯的电子转移。
Yang, W., Zhao, X., Wang, Y. et al. Selective dissolution to synthesize densely populated Pt single atom catalyst. Nano Res. (2022). https://doi.org/10.1007/s12274-022-4690-y
TEM、球差云视频,加急测!
球差、冷冻电镜、原位TEM、HR-TEM、EDS-Mapping、SAED、HADDF-STEM、EELS、ABF-STEM应有尽有!
Science、Nature级别水平!发顶刊,拍TEM,找我们就对了!
添加下方微信好友,咨询张老师:18165785257(电话同微信)
点击阅读原文,提交计算需求!
-
2023年血糖新标准公布,不是3.9-6.1,快来看看你的血糖正常吗? 2023-02-07
-
2023年各省最新电价一览!8省中午执行谷段电价! 2023-01-03
-
GB 55009-2021《燃气工程项目规范》(含条文说明),2022年1月1日起实施 2021-11-07
-
PPT导出高分辨率图片的四种方法 2022-09-22
-
2023年最新!国家电网27家省级电力公司负责人大盘点 2023-03-14
-
全国消防救援总队主官及简历(2023.2) 2023-02-10
-
盘点 l 中国石油大庆油田现任领导班子 2023-02-28
-
我们的前辈!历届全国工程勘察设计大师完整名单! 2022-11-18
-
关于某送变电公司“4·22”人身死亡事故的快报 2022-04-26
