经典杨-米尔斯场理论:物理与数学纠缠孕育出的科学明珠
经典杨-米尔斯场理论:物理与数学纠缠孕育出的科学明珠
hep518
好书推送:大家名师、精品力作、精彩书摘、媒体推荐; 用户服务:教改动态、产品促销、会议报名、资源下载; 互动交流:图书查询、教材答疑、用书反馈、出版资讯。
恰逢杨振宁先生百岁寿辰,我们把三十几年前《经典杨-米尔斯场理论》的讲义重新整理出版以兹庆贺。本书将以简明扼要的方式向初学者介绍经典杨-米尔斯规范场理论的主要内容,并希望年轻一代学者在学习相关知识的同时,能够全面了解杨振宁先生将基础物理学和数学结合的思想,深刻体会杨先生隽永的学术品味和科学境界,可谓“昔负千寻质,高临九仞峰”(唐骆宾王句)。
提起这本书,有一些故事。1985年陈省身先生建立南开数学所,方针是“立足南开,面向全国,放眼世界”。陈先生邀请杨振宁先生在数学所办一个理论物理研究室(以下简称理论室),杨先生于1986年带我到南开大学,决定筹办理论室。陈先生为了培训国内数学方面的人才,组织了一系列暑期讲习班,分别由不同大学承办,选题由陈先生确定。开始讲课的是国外学者,1987 年他决定请国内学者讲课。其中一个专题是“杨-米尔斯场”,他征询与杨先生合作过的谷超豪先生的意见,谷先生推荐我讲。1961年在导师段一士先生的指导下,我读的第一篇文献就是1954年杨先生与米尔斯的文章,其后1980—1984年去美国石溪工作就是与乔玲丽、吴詠时合作研究自对偶杨-米尔斯场(SDYM)。
我记得1987年的暑期讲习班在吉林大学举行。当时教室不是很大,我讲课时都坐满了,我就看到有一个年轻人搬了个小板凳坐在底下听。他就是孙昌璞,那时他刚刚硕士毕业留在东北师大物理系工作。他对经典杨-米尔斯场理论十分感兴趣,就讲座的内容与我多次讨论,并希望能考我的博士生。我说好,并邀请他把几次讲座的内容整理成稿。两年后他来到南开做我的博士生,除了研究新方向量子代数外,让我惊讶的是他把杨-米尔斯方程的各种经典解及其求解方法整个做了一遍,在攻读博士学位期间,还额外阅读了不少新文献,补充了必要的内容,远远超出了我讲的内容,太不容易了,这简直就是一个现成的杨-米尔斯场经典解的书稿。20世纪90年代初,浙江科技出版社要出版,但由于各种考虑未果。在形成初稿的过程中,我还邀请谷超豪先生帮助我们对书稿数学的严格性进行把关。谷先生百忙之中认真阅读并仔细修改了数学内容集中的前两章,今天追忆细思,真是感恩不尽!
1989年孙昌璞来到南开时,按杨先生指导,我和学生们的科研工作已经从经典杨-米尔斯场理论转向统计物理模型严格解和量子反散射相关的杨-Baxter方程(YBE)。其实1986年到南开后我就请教杨先生:“我们今后应该做什么?”他说:“你以前做杨-米尔斯规范场,现在做杨-Baxter方程正是时候。”当时Faddeev学派和京都学派已经做了很多工作,我问:“还有做的余地吗?”但杨先生说:“虽然发展了这么多年,但是它非常难,真正发展起来也就是在70年代末、80年代初的事儿。这里面还有很大的余地,它是数学物理新的方向,尤其跟物理的结合,会有许多新的物理效应。”
于是,按照陈省身先生的指示,特别简单,“理论物理研究室就做振宁的方向。”我和学生们一道全力以赴、互教互学、攻坚克难,很快就在杨-Baxter方程新解方面取得了一些成绩。孙昌璞来到南开后,在继续完善经典杨-米尔斯场理论书稿的同时,主要精力也投入杨-Baxter方程相关的研究,我们通过量子群(量子代数)的有限维不可分解表示构造了杨-Baxter方程的一些新解。由于这些工作,经国家学位委员会批准,孙昌璞有幸成为杨振宁先生和我在国内联合培养的研究生,毕业后得以去美国纽约州立大学石溪分校的理论物理研究所跟随杨先生继续学习深造,正是这些经历,成就了他的一番事业。
可以说,我们师生几代都是沐浴着杨先生学术之雨露在科学的道路上不断前行的。杨先生不只在学问知识上指导我们,他还强调在为学和做人“不可以有傲气,但不可无傲骨”,强调参与国际竞争。因此,当时我和学生们自由自在地研究,常常争论也很激烈。经常有人在作报告时,底下就会有人说,“你这根本就是错的”,两人当场就能争辩起来。这样的讨论、学习,对我们的研究工作帮助非常大。我觉得,现在就缺乏这样自由的学术争鸣,大家就是要这样深入地辩论,才能互相激发、学习提高。杨先生主张做学问要“宁拙勿巧,宁朴勿华”。笨办法常常是最保险的办法,不要开始就想取巧,就是要从笨的地方来弄,弄熟了,就巧了。宁朴勿华,就是要朴实,不要华而不实,杨先生的文章都是很简练的,“秋水文章不染尘”。时至今日,杨先生的这方面的教诲还深深地影响着我和我的学生们,我们在做学问和做人方面仍不敢有一丝放松。
2003年,杨先生从美国石溪搬回北京清华,我们与杨先生见面的机会更多了。与杨先生的这些际遇,是我们人生和职业生涯之巨大幸事。值此杨先生百年诞辰之际,在怀着无比感恩之心衷心地祝福他的同时,我们决定重启当时因忙于前沿科研而搁置的书稿出版工作,根据进展做了些适当的补充后,把杨振宁和米尔斯创建的非阿贝尔规范场理论的经典部分奉献给年轻一代的学者。
在此,我们再一次感谢已故的著名数学家谷超豪先生和胡和生先生对本书以及我本人的诸多帮助;也感谢孙昌璞的研究生张智磊和刘瑞辰同学,他们不仅历经六个多月把陈年泛黄,甚至字迹不清的手写稿打印成文,而且和孙昌璞一道逐一核对演算了书稿中的全部公式,重新制作了插图;感谢高等教育出版社缪可可的促进和努力。我们最后还要感谢中国科学技术大学的卢建新教授和浙江大学的冯波教授,他们十分认真地审读了书稿,提出了宝贵的修改意见,使本书得以进一步完善。
葛墨林
2022年4月25日谨记于南开大学
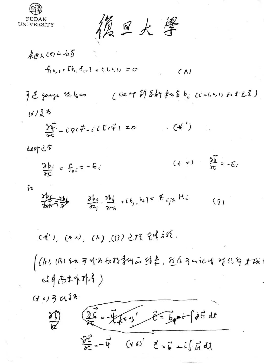
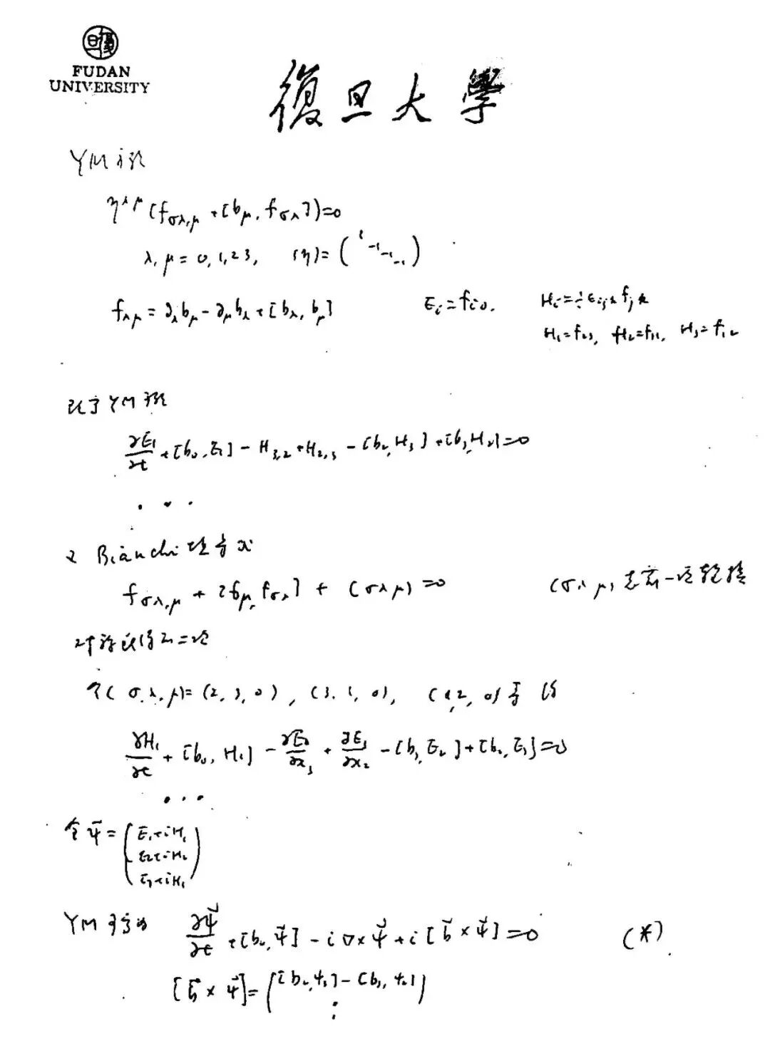
杨-米尔斯场理论是杨振宁最大的贡献。
1954年,杨-米尔斯场理论(即非阿贝尔规范场论)发表。在两篇短文中,杨振宁和Mills将Weyl的阿贝尔规范理论推广到非阿贝尔规范理论。这个当时没有被物理学界看重的理论,通过后来许多学者于1960到1970年代引入的自发对称破缺与渐进自由的观念,发展成今天的标准模型。这被普遍认为是20世纪后半叶基础物理学的总成就,主导了长期以来基础物理学的研究。
杨振宁和Mills进行这个推广的动机清晰表达于他们1954年的第一篇短文。那是杨振宁在当年美国物理学会四月会议M会场所作报告的摘要,大概在四月一日之前作为会议摘要投稿。摘要写道:
“电荷是电磁场的源。这里的一个重要概念是规范不变性,它紧密相关于 ❶ 电磁场的运动方程, ❷ 流密度的存在, ❸ 可能存在的带电的场与电磁场的相互作用。我们尝试将这一规范不变性的概念推广,以用于同位旋守恒。”
-
2023年血糖新标准公布,不是3.9-6.1,快来看看你的血糖正常吗? 2023-02-07
-
2023年各省最新电价一览!8省中午执行谷段电价! 2023-01-03
-
GB 55009-2021《燃气工程项目规范》(含条文说明),2022年1月1日起实施 2021-11-07
-
PPT导出高分辨率图片的四种方法 2022-09-22
-
2023年最新!国家电网27家省级电力公司负责人大盘点 2023-03-14
-
全国消防救援总队主官及简历(2023.2) 2023-02-10
-
盘点 l 中国石油大庆油田现任领导班子 2023-02-28
-
我们的前辈!历届全国工程勘察设计大师完整名单! 2022-11-18
-
关于某送变电公司“4·22”人身死亡事故的快报 2022-04-26
