首页 > 行业资讯 > 同步辐射:提供原位测试!预约高能机时!可测Ti,V, Cr,Mn,Fe,Co,Ni,Cu,I,Cs,La,Ce等30多种元素!

同步辐射:提供原位测试!预约高能机时!可测Ti,V, Cr,Mn,Fe,Co,Ni,Cu,I,Cs,La,Ce等30多种元素!

时间:2022-10-01 来源: 浏览:

同步辐射:提供原位测试!预约高能机时!可测Ti,V, Cr,Mn,Fe,Co,Ni,Cu,I,Cs,La,Ce等30多种元素!

微著 能源技术情报
能源技术情报

gh_99d249aa3467

专注于新能源前沿技术、深度创新和产业化。

收录于合集

学研汇长期提供同步辐射 高能机时、中低能机时

国外商业机时有限,量多优惠

可测 Ti,V, Cr,Mn,Fe,Co,Ni,Cu,I,Xe,Cs,Ba,La,Ce,Pr,Nd,Pm,Sm,Eu,Gd,Tb,Dy,Ho,Er,Tm,Yb,Lu 元素

可以做电化学体系的

原位 同步辐射测试

同步辐射丨球差电镜丨FIB-TEM
原位XPS、原位XRD、原位Raman、原位FTIR
加急测试

朱老师

158 7177 4683

www.xueyanhui.com

以下内容,由 学研汇 同步辐射技术部专家 原创 ,供大家交流。

众所周知,通过同步辐射X射线吸收XAS表征技术可用获得及其丰富的材料电子结构和配位结构信息,可以发现在许多顶刊发表的研究中XAS都起到了至关重要的作用。近年来,XAS在国内外各大小课题组研究过程中有着越来越普及的趋势,尤其是越来越多此前在XAS表征方面没有太多经验的新用户也逐渐通过多种渠道借力该技术进行深入的表征,提升研究档次。

 

如同其他多种表征一样,同样的数据在不同人的手里可以得到不同层次的结果,经验越丰富的人越有可能获得更多的信息。 然而经验的获得可能并非可以一蹴而就的,尤其是对于像XAS这样相对比较复杂的技术而言。我们团队,在XAS数据解析方面与国内外多个研究团队都有着紧密合作,积累了丰富的解析经验,并且在过去的几年中帮助复旦大学、中山大学、天津大学、吉林大学、厦门大学、兰州大学、大连化学物理研究所、福建物构所等等多个研究单位解析过许多重要数据,帮助他们得到了获得了重要研究成果。

XAS数据,到底该如何分析?
如图1所示,XAS原始数据可以分为近边XANES和扩展边EXAFS两部分。近边对电子结构、价态、组分等比较敏感,而扩展边通过数据处理和拟合可以获得丰富的结构信息。
 
图1 XAS原始数据示例
 
1.  扩展边X射线吸收精细结构谱(EXAFS分析)
通过EXAFS分析可以得到丰富的结构信息,也是最常见的一种数据解析内容。如图1所示,EXAFS形象理解的话可以看做是中心元素内层电子吸收X射线跃迁到外层形成光电子,光电子以波的形式发射出去并受到周围原子的散射,散射波与发射波产生干涉就得到了图1中所示的震荡波谱。EXAFS的数据处理需要将上述能量空间的震荡转换为波长k空间的震荡(图2)。而k空间的数据可以进一步通过傅里叶变换得到R空间的数据。至此我们才可以大概获得有关结构信息的“直观”数据。此外,通过R空间的逆傅里叶变换可以得到q空间数据。
图2 R空间与k空间
 
1)R空间中某个峰的可以对应距离中心元素多远存在一种或者多种配位元素,但是直接傅里叶变换得到的R空间中峰的位置并非真实键长,一般比实际键长短~0.5 Å,真实的键长应以拟合结果为准,在作图中可以直接作图无需矫正。
 
2)R空间中并非所有的峰都有意义,比如小于1 Å的,对于常见的金属而已很难有如此近的配位元素存在。另外,对于比较弱的峰更加需要小心区分,可能是信噪比较差引起的,也可能是伴随某元素主峰出现的弱峰。
 
3)R空间中,同一位置峰的高度与配位数的大小效果,可以利用这个特性粗略判断不同样品中配位数的高低。但是随着距离增加其高度会有指数级降低,尤其是对于结构比较无序的样品,其峰也会更弱。
 
4)通过EXAFS拟合可以得到最基本的配位元素、键长、配位数等配位结构信息。如表1所示,通过EXAFS拟合可以得到配位元素Path,对应配位数Coordination Number,键长R,以及可以帮助判断拟合质量的无序度σ 2 (Debye Wallerfactor), △E 0 和R factor。拟合参数的设置与预期结构和分析目的密切相关,也直接影响拟合质量。一般而言配位数的误差可以有10%甚至20%,这个参数也是EXAFS拟合中最为不准确的一项。键长的误差一般小于0.02 Å,σ 2  < 0.01, |△E 0 |   <10 eV, R factor < 0.02. 满足以上要求则可以认为基本符合要求,但对于实际体系尤其是数据质量并不高的体系,略微偏离这些指标在一定程度上也是可以接受的。
 
表1. EXAFS拟合结果示例
 
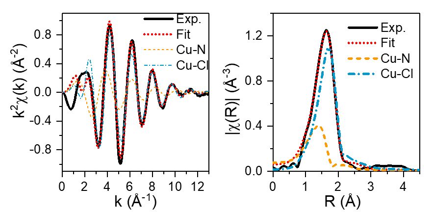
图3 R空间与k空间拟合结果
 
5)和许多数据处理过程一样,EXAFS拟合也必须要首先对标样进行拟合后才能进一步拟合其他未知样品,尤其是配位数的大小,只能通过定标之后才能得到有意义的结果。由于仪器状态等问题,标样的采集须尽量与样品同时或者同批次采集,否则结果可能不准确。
 
6)单纯从一个数据来讲,可以存在无限种拟合方式,因此需要对样品的结构有大概了解。如表1所示,同一样品按照1a/1b两种不同方式进行拟合(除Cu-Cl配位外是否含有Cu-N配位),在一定程度上都可以得到满足拟合要求的拟合结果,但是通过比较可以发现1a情况拟合质量更好。通过比较不同可能性的拟合结果也可以帮助验证预期的不同结构模型哪种更准确。
 
7)对于同一个数据,在满足合理性的基础上,引入越多的配位元素可能得到的拟合质量越高,但是实际上对于一定能量范围和信噪比的数据其能够拟合的参数上限是固定的。在对于样品组分和结构不确定的情况下,引入过多的配位元素的话会在一定程度上牺牲拟合的可信度。但是在结构或者组分已知的情况下,可以通过EXAFS拟合得到多种多样的结构信息。
 
8)EXAFS拟合所得的数值都是平均结果,比如Cu纳米颗粒,其中既有金属Cu也有Cu 2 O物种,虽然对于纯的Cu 2 O而言其Cu-O配位数为2,但是实际上所得的结果可能小于1.因为拟合可以看做是样品中存在的所有Cu-O键的数量除以所有Cu的原子数。同理对于金属Cu而言其Cu-Cu理想配位数为12,但是即使是还原态的Cu纳米颗粒其配位数可以仅有9甚至更低。纳米颗粒尺寸较小时其表面原子以及边角位原子占比较高,而这些Cu的配位数远低于12,所以导致配位数较低。当然,特定情况下可以通过这些数据反推样品的成分组成和结构组成(如合金还是核壳等)。
 
9) 除拟合得到的各个参数外,通过EXAFS拟合得到的k空间和R空间的拟合谱也拟合质量的判标。对于R空间,可以清楚地分析各个峰对应于哪种配位元素。
 
2.  小波分析EXAFS Wavelet Transform
如上所述,EXAFS的拟合非常依赖对于样品成分和结构的了解,在此情况下可以大概推测R空间中的峰对应于某种配位元素,然后进一步对各参数进行拟合。但是实际上,对于未知样品我们很难确定其配位元素有哪些,尤其是对于R空间中键长比较接近的峰。因此,EXAFS的拟合很多情况下都需要结合EXAFS小波分析,才能有效地进行数据分析,得到更加可信的结果。
 
在R空间中只能看到哪些位置有峰以及峰的高低,却无法知道某个峰可能对应何种配位元素。但是我们在图3的k空间中可以看到,不同的配位元素有着不同的k空间震荡模式。对于比较轻的元素,其k空间的最强震荡出现在较低的波数,如上图中的N在~4 A -1 ; 而较重的元素其k空间的最强震荡出现在较高的波数位置,如图3中的Cl在~5 A -1 ,更重的金属元素则可能出现在8-12 A -1 等等。与傅里叶变换得到的R空间中的二维信息不同,小波分析可以将R空间与k空间结合得到的是三维信息。  
图4 小波分析示例
 
如图4所示,Fe-MOF的EXAFS傅里叶转换(左)和小波分析结果(右),其中R空间中的ABC三个峰分别对应于小波分析中的ABC三个位置。其中A:R~1.5 A, k~4 A -1 ; B R~3.0 A k~4 A -1 ; C: R~2.1 A, k~8A -1 。可以判断A和B的配位元素相近,结合材料信息可以认为A和B分别为配体中紧邻和次近邻的C和O元素,而C则对应于较重的元素,结合材料信息可以判断为Fe即,该材料中形成了超小的金属Fe簇合物。值得一提的是,该结果远非客户所预料的结果,在给出这个分析结果之前他们本以为仅是峰A,即O配位数的相对较低导致该催化剂在相关反应中具有较高的催化活性,而Fe仍以单分散形式存在。如果没有不经过小波分析也可以按照该客户推测进行拟合得到相对合理的结果,但是就错过了这个重大发现。
 

3.  价态分析/XANES近边分析
对于许多XAS数据,其扩展边可能数据质量较差,使得拟合的可信度有时候值得商榷。而XANES一般有足够高的信号质量,并且具有许多指纹信息,可以给出更加丰富的信息。其中最简单也最常见的要数价态分析。如图5所示,不同价态的MoOx标样的K-edge吸收边的位置不同,价态越高其吸收边越往高能量方向移动,而且其吸收边的位置与价态具有较好的线性相关性质。对于某未知样品,只需将对应吸收边的位置代入由标准样得到的相关关系中便可以得知未知样品中对应元素的平均价态。除吸收边位置外,还可以通过吸收边高度(白边)或者对应区间的面积进行归一化处理。一般而言,K边吸收对于吸收边未知更为敏感,而边吸收谱则对白边高度或者吸收面积相关性更高。
 
理想的价态分析需要尽量多的标样,并且未知样品的配位元素应尽量与标准样品相近。即便相同的价态但不同配位结构的样品,其近边吸收谱也可能会有较大的差异。不同的未知样品之间进行比较时也需小心对待。如下图所示同样的Ti 4+ 不同的配位模式表现出迥异的XANES,尤其是边前吸收具有巨大的差异。幸运的是,这些边前吸收恰好可以提供丰富的指纹信息,有助于进一步结构分析。
 
图5 XANES分析示例
 
4.  组分分析Liner Combination Fitting
组分分析,顾名思义就是分析混合样品中各组分的占比,也是基于XANES的分析方法,常见于原位XAS实验数据处理,当然也适用于其他混合样品的组分分析。前述的价态分析常常得到非整数价态,有时候可以认为是由结构相近的但是价态不同的两种组分混合构成的,在此基础上可以经组分分析确定不同组分的占比。组分分析的前提是对于含有的物质种类有相对清楚的认识。
图6 组分分析示例
 
XAS数据解析注意事项
在我们过往的合作过程中我们发现,一些科研人员对于XAS缺乏足够的了解,有的只是拿到了原始数据,便希望可以得到“所有”想得到的信息,但是实际上实际得到信息和他们理想中的要求可能相差甚远。基于此,为确保充分挖掘数据资源,我们需要您提供以下信息:
1. 原始数据,信噪比要好,否则无法进行有效拟合。
2. 想要得到的信息,如价态、配位结构等。具体能够实现的功能,以及具体要求详见第二部分。
3. 对应2的预期结果。数据处理如果没有一定的目标的话会得到许多无用的结果,高效的数据分析一定是建立在对于样品充分的了解和有一定的猜测基础之上的。
4. 对应样品的合成、处理过程相关信息或者其他表征结果等。有时候数据分析的结果不一定复合客户预期结果,这时候可以如果有其他信息的话可以有效地帮助判断和进一步数据处理。
 
同步辐射丨球差电镜丨FIB-TEM
原位XPS、原位XRD、原位Raman、原位FTIR
加急测试

朱老师

158 7177 4683

www.xueyanhui.com
版权:如无特殊注明,文章转载自网络,侵权请联系cnmhg168#163.com删除!文件均为网友上传,仅供研究和学习使用,务必24小时内删除。
相关推荐