电池研究 | 石墨储钠 “共嵌入” 新碳亦可 “共吸附”
时间:2022-09-29
来源:
浏览:
电池研究 | 石墨储钠 “共嵌入” 新碳亦可 “共吸附”
CCL助手
康桥电池能源CamCellLab
发表于
康桥电池能源CamCellLab
gh_6f92e0be0b72
“康桥电池能源CamCellLab”专注于新型电池技术、算法模型、数据驱动及可视化、电池管理技术方案研究与专家咨询服务。
收录于合集
提示 : 点击上方 " CamCellLab ", 关注本公众号。
导语
01
工作介绍
01 工作介绍
-
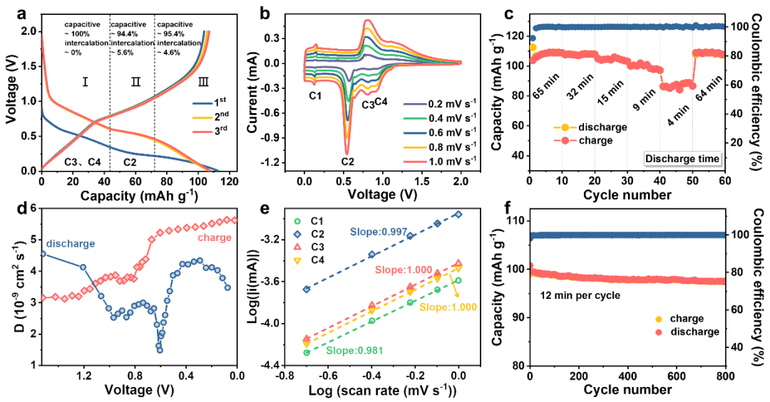
本文合成了一种含有序晶界与介孔的微晶石墨电极材料,研究发现该电极材料可在其纳米尺度的 有序晶界及介孔中实现 “共吸附”储钠 ,且该电极表现出大于92%的首次库伦效率、低的储钠平台及优异的储钠稳定性; -
本文中率先利用 原位的同步辐射散射技术(SAXS) 研究该电极材料储钠行为,发现了纳米尺寸有序晶界及介孔中钠的可逆存储,有效证明了 “共吸附”储钠机制,为研究纳米尺度空间中的离子存储行为开拓了新的原位测试手段; -
准原位的同步辐射吸收谱、球差电镜测试及DFT理论计算,进一步揭示了本文制备的微晶石墨电极的 “共吸附”储钠行为 。
02
图文导读
02 图文导读
03
结论
03 结论
声明:欢迎广大学者踊跃投稿 。本栏目信息来源及内容仅作为学术课题研究、技术交流等用途,不作为商业用途;文章观点仅供分享交流,转载请注明出处;如涉及版权等问题,我们将及时沟通处理。
下一条:预防心脏疾病,这5种现象不容忽视
版权:如无特殊注明,文章转载自网络,侵权请联系cnmhg168#163.com删除!文件均为网友上传,仅供研究和学习使用,务必24小时内删除。
相关推荐
热门信息
-
2023年血糖新标准公布,不是3.9-6.1,快来看看你的血糖正常吗? 2023-02-07
-
2023年各省最新电价一览!8省中午执行谷段电价! 2023-01-03
-
GB 55009-2021《燃气工程项目规范》(含条文说明),2022年1月1日起实施 2021-11-07
-
PPT导出高分辨率图片的四种方法 2022-09-22
-
2023年最新!国家电网27家省级电力公司负责人大盘点 2023-03-14
-
全国消防救援总队主官及简历(2023.2) 2023-02-10
-
盘点 l 中国石油大庆油田现任领导班子 2023-02-28
-
我们的前辈!历届全国工程勘察设计大师完整名单! 2022-11-18
-
关于某送变电公司“4·22”人身死亡事故的快报 2022-04-26
