齐鲁石化烯烃厂闪燃事故树分析
齐鲁石化通报称,6月9号上午10点16分,齐鲁石化烯烃厂油品罐区四号罐在施工过程中发生闪燃,伤亡不明。以上事故为人们再一次敲响安全生产的警钟,也给化工设计者进行安全评价提出更高的要求。
故障树分析方法经过长期发展形成了事故树分析手段,现成为安全系统工程领域的重要分析方法之一,也在化工过程设计中得到推广。它采取逻辑推理手段实现对化工生产中的危险性进行辨识和评价,可以分析安全事故的直接原因,也能够揭示导致事故发生的潜在原因。本文主要介绍其实现过程,并选取2019年府学路18号团队作品进行学习交流。
实现过程
该方法在具体实施过程中需要结合分析对象系统的性质和分析目的进行调整,但是以下七个步骤一般可以满足正常分析需求:
(1)确定顶上事件 即设定要分析的事件对象,一般选择损失高和概率大的系统事故;
(2)确定目标 根据事故记录和同类系统相关资料进行数据统计分析,得出事故概率,根据事故严重程度,得到研究事故发生概率的目标值;
(3)调查原因事件 调查研究事故的所有诱因,具体包括管理和指挥失当、操作失误、设备故障等,需要尽可能将原因和影响调查完全;
(4)绘制事故树 根据以上资料,从顶上事件开始,通过逻辑演绎逐步找到所有直接原因事件,完成所需的分析深度,按照事件逻辑关系绘制事故树;
(5)定性分析 对所得事故树进行化简,计算最小割集和最小径集,可以确定各个基础事件的结构重要度排序,计算顶上事件发生概率;
(6)比较评价 对于可维修系统,将所得数据与统计结果进行对比,若概率结果不符合,需要重新研究,在原因事件是否齐全,基本原因事件概率设置是否得当等方面进行更正。针对不可维修系统,完成定性分析即可;
(7)定量分析 该部分包含三个方面内容,a.当事故发生概率超过预定目标值时,要对降低事故发生概率的所有途径进行研究,b.利用最小径集,找出根除事故的可能性,并选出最佳方案,c.对需要治理的原因事件按照临界重要度系数大小进行排队,以求加强人为控制。
计算事例
鉴于甲醇储罐区火灾爆炸事故后果严重,选取“甲醇储罐火灾爆炸”作为顶上事件,按照上述作图方法,可以得到事故树分析图如下所示。

符号含义如下表所示。

最小割集——计算得到事故树的最小割集,共432个,其中3阶最小割集120个,4阶最小割集96个,5阶最小割集120个,6阶最小割集96个。由于最小割集数量很多,此处不一一列举。
最小径集——计算得到事故树的最小径集,共8个,如下:

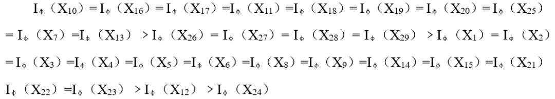
事件结构重要度分析——计算得到“甲醇储罐火灾爆炸事故”事件结构重要度分析如下:

分析结论——由最小径集可以得出,为了达到预防事故发生的目的,应采取如下措施:
(1)加强储罐区内可燃性气体含量的检测,以及检测仪器的维护工作,保证检测仪器正常工作。
(2)制定甲醇泄漏应急措施,防止火灾爆炸事故的发生。
(3)严格控制储罐的储存量,防止过量储存引起罐体超压。
(4)正确选择阀门、法兰以及罐体的安全附件的类型及型号,并加强安全检查和维护工作。
(5)加强安全管理,禁止未带阻火器的汽车进入罐区、在罐区内违章动火、吸烟、使用电子通讯工具等违规行为。
(6)正确使用罐区内电器的类型,加强用电安全管理。
(7)加强员工培训,员工上岗必须穿防静电工作服和劳务用品,不穿带铁钉的鞋进入罐区或用铁质工具作业。
(8)加强防雷防静电装置及其附件的安全检查和维护,并定期进行检验,保证其符合安全要求。
(9)加强员工的安全培训,提高员工的安全意识和工作能力,尽量避免因人为因素而引发的事故。
-
2023年血糖新标准公布,不是3.9-6.1,快来看看你的血糖正常吗? 2023-02-07
-
2023年各省最新电价一览!8省中午执行谷段电价! 2023-01-03
-
GB 55009-2021《燃气工程项目规范》(含条文说明),2022年1月1日起实施 2021-11-07
-
PPT导出高分辨率图片的四种方法 2022-09-22
-
2023年最新!国家电网27家省级电力公司负责人大盘点 2023-03-14
-
全国消防救援总队主官及简历(2023.2) 2023-02-10
-
盘点 l 中国石油大庆油田现任领导班子 2023-02-28
-
我们的前辈!历届全国工程勘察设计大师完整名单! 2022-11-18
-
关于某送变电公司“4·22”人身死亡事故的快报 2022-04-26
