ChemDraw 的使用方法(一)
ChemOffice作为有机化学常用的工具,包括在对于反应的进程、反应机理、特定有机化合物的性质(核磁氢谱、核磁碳谱、酸性、亲水性等性质)主要是由ChemDraw完成的。包括对于有机物空间结构的建立、特定简单力场下(分子动力学、光谱信息[紫外光谱、拉曼光谱]的模拟、核磁氢谱的模拟、最低能量态的键搜寻(单键、双键)等)主要是由Chem3D完成。包括对于已知有机化合物的搜寻、已知反应的检索(特定检索反应物、生成物、催化剂、溶剂体系等)主要是由ChemFind完成。本篇文章主要讲述ChemDraw的使用方法(以ChemDraw 18.0为例),同时以在文献中经常出现的工作为例进行重复。[10篇文章]

图 1.ChemDraw的工作页面
具体菜单栏就不进行一一介绍了,直接开始讲应用。
· 应用一:反应的书写
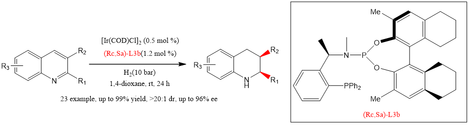
事实上在每一篇涉及到有机合成的文章中,都会选择使用ChemDraw。比如说最近出来的一篇关于“2,3-取代基喹啉在膦-酰胺配体催化剂非对映和不对称选择加氢”的文章中,对于反应式的书写如下:

图 2.原文图片(1)
可以看到,文章中的化学式有着极好的整洁和对称,这就需要我们选择调用view菜单下Show Crosshair(也可以直接选择Ctrl+H),对于书写工整有着极好的帮助:

图 3.实际操作(1)
在这里有些同学会问吡啶基怎么加的?或者R1、R2、R3是怎么加的?事实上这些操作都很简单,只需要找到功能栏的 “A” 符号(如图 3所示),直接用输入法输入“杂原子(N、O、S等)、金属原子等”即可,注:不可直接输入取代基。
可能又有同学问了,在这里化学式占整个纸张的比重非常大,存在写不开的尴尬境地。这里就需要完成两个操作(任选其一就行):
(1)修改化学式的大小(如图 4选中化学式,右键scale对比例进行设置,再次修改比例会在原先修改的基础上累加)
(2)修改纸张大小(选择File下Document Setting,对Document Size进行修改,即可修改纸张大小)

图 4.实际操作(2)

图 5.修改分子式大小
完成了上述准备阶段,我们可以继续书写方程式了。

图 5.实际操作(3)
在写到反应条件时,可以看到,我们输入[Ir(COD)Cl]2时会出现错误提示,只需要把View下Show Chemical Warning取消掉即可(值得说一下,Show Chemical Warning针对反应式正视图错误、文本错误可以进行突出显示,提醒修改)。
另一方面,针对于数字下标问题,只需要对所选数字右击鼠标,选择Style下Subscript即可(快捷键F9),如果需要数字上标,只需要在Style下Superscript即可(快捷键F10),如果什么都不用只需要在中间,选择Formula(快捷键Ctrl+F)。
除了上述两个问题,对于文本字号设置,也是对于美观的一个重要体现,只需要选中文本,右键size下即可修改字号。

图 6.实际操作(4)
对于橡皮的使用,可以擦掉双键中的单键,如果需要整个分子删除,可以选中整个分子,按下键盘上的“Delete”键即可。

图 7.实际操作(5)
对于键颜色的选择,可以选中化学键,直接在菜单栏color中找到自己喜欢的颜色即可。

图 8.实际操作(6)
· 应用二:化合物性质情况的描述
以上一次的催化剂为例,进行对于(系统命名、性质(亲水性、酸性)、核磁氢谱、核磁碳谱的描述)
对于系统命名,我们需要选中整个分子,选择Structure下Convert Structure to Name(快捷键Alt+Ctrl+N)。

图 9.系统命名法
在对于其核磁信息进行模拟的时候,我们仍然是在Structure下选择H-NMR和C-NMR即可。

图 10.核磁共振氢谱的模拟

图 11.核磁共振碳谱的模拟
在这里需要注意一点:模拟的核磁共振氢谱和碳谱都只存在指导作用,不能代表实际情况,在不同条件下(Linux、Win系统)数据不同(已经被证实)。

图 12.相关参数的计算
选择View下Show Chemical Properties Window,可以展示Pka、LogS等参数,对溶液有一定的作用。
-
Origin(Pro):学习版的窗口限制【数据绘图】 2020-08-07
-
如何卸载Aspen Plus并再重新安装,这篇文章告诉你! 2020-05-29
-
AutoCAD 保存时出现错误:“此图形中的一个或多个对象无法保存为指定格式”怎么办? 2020-08-03
-
OriginPro:学习版申请及过期激活方法【数据绘图】 2020-08-06
-
CAD视口的边框线看不到也选不中是怎么回事,怎么解决? 2020-06-04
-
教程 | Origin从DSC计算焓和比热容 2020-08-31
-
如何评价拟合效果-Origin(Pro)数据拟合系列教程【数据绘图】 2020-08-06
-
Aspen Plus安装过程中RMS License证书安装失败的解决方法,亲测有效! 2021-10-15
-
CAD外部参照无法绑定怎么办? 2020-06-03
-
CAD中如何将布局连带视口中的内容复制到另一张图中? 2020-07-03
