gb151增加管板厚度,减小不布管区无量纲宽度
偶尔会碰到k>1.0而管板无法用SW6计算的情况,此时除了增加布管数,还有另一种办法:若想保持布管数n不变(如,设置了防冲板,并为了保持布管的对称),此时可增加管板厚度δ,或增加换热管有效长度L可以减小K、k。当然,增加管板厚度δ的方法比较合理。
原因如下:
首先,根据GB/T 151中7.4.6节的规定,标准中固定管板计算方法,仅适用于管板周边不布管区较窄的管板,具体参数要求如下:
K<2.0时,k≤1.0且ρt≥0.7;
K≥2.0时,k≤1.0且ρt≥0.8;
几个符号的意义分别为:
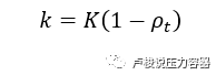
一、根据GB/T 151式7-75,管板周边不布管区无量纲宽度k


三、根据GB/T 151的7.4.8小节,管板布管区的当量直径与壳程圆筒内径之比ρt与布管数、管间距成正比。
减小K或增大ρt都可以减小k。
上一条:ChemDraw的使用方法(二)
下一条:4 种换热器壳程防冲结构
版权:如无特殊注明,文章转载自网络,侵权请联系cnmhg168#163.com删除!文件均为网友上传,仅供研究和学习使用,务必24小时内删除。
相关推荐
热门信息
-
Origin(Pro):学习版的窗口限制【数据绘图】 2020-08-07
-
如何卸载Aspen Plus并再重新安装,这篇文章告诉你! 2020-05-29
-
AutoCAD 保存时出现错误:“此图形中的一个或多个对象无法保存为指定格式”怎么办? 2020-08-03
-
OriginPro:学习版申请及过期激活方法【数据绘图】 2020-08-06
-
CAD视口的边框线看不到也选不中是怎么回事,怎么解决? 2020-06-04
-
教程 | Origin从DSC计算焓和比热容 2020-08-31
-
如何评价拟合效果-Origin(Pro)数据拟合系列教程【数据绘图】 2020-08-06
-
Aspen Plus安装过程中RMS License证书安装失败的解决方法,亲测有效! 2021-10-15
-
CAD外部参照无法绑定怎么办? 2020-06-03
-
CAD中如何将布局连带视口中的内容复制到另一张图中? 2020-07-03
